حرية سقفها السماء

وكالة سرايا الإخبارية

إبحــث في ســــرايا
السبت ,18 أكتوبر, 2025 م
طباعة
  • المشاهدات: 51819

لمن يعرفهم .. ملايين الدنانير ستؤول للحكومة في حال عدم المطالبة بها من البنوك - أسماء

لمن يعرفهم .. ملايين الدنانير ستؤول للحكومة في حال عدم المطالبة بها من البنوك - أسماء

لمن يعرفهم  ..  ملايين الدنانير ستؤول للحكومة في حال عدم المطالبة بها من البنوك - أسماء

16-10-2025 03:48 PM

تعديل حجم الخط:

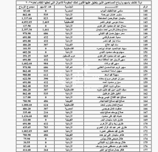
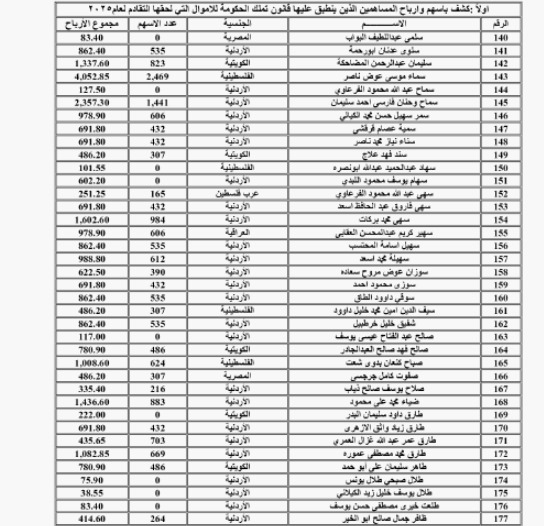
سرايا - نشرت الجريدة الرسمية، اليوم الخميس، إعلانًا لعدد من البنوك الأردنية تدعو فيه أصحاب الحسابات والمساهمين إلى مراجعتها خلال فترة محددة، لاستلام الأموال والأرباح العائدة لهم والتي مضى على وجودها في حساباتهم أكثر من خمسة عشر عامًا دون مطالبة، وذلك استنادًا لأحكام المادة (5/ب) من قانون تملك الحكومة للأموال التي يلحقها التقادم لسنة 1985.

ووفق ما ورد في الإعلانات المنشورة، فقد أمهلت البنوك الأردنية المعنية أصحاب هذه المستحقات مدة ثلاثين يومًا من تاريخ النشر في الجريدة الرسمية، لتقديم الوثائق الثبوتية اللازمة واستلام أموالهم، محذّرة من أن هذه المبالغ ستؤول إلى خزينة حكومة المملكة الأردنية الهاشمية في حال لم يتم المطالبة بها خلال المهلة القانونية.

وشمل الإعلان عدداً من البنوك العاملة في الأردن، التي أوضحت أن المبالغ المودعة أو الأرباح المترتبة على الأسهم تخص أردنيين وأجانب لم يراجعوا البنوك منذ سنوات طويلة، مشيرة إلى أن الورثة الشرعيين يمكنهم كذلك مراجعة الفروع المعنية مصطحبين شهادة الوفاة وحصر الإرث حسب الأصول.

وتقدر الأموال بملايين الدنانير، وتعود إلى حسابات أو أسهم مهجورة لم يتم التعامل معها منذ ما يزيد عن عقد ونصف من الزمن.

ويأتي هذا الإجراء في إطار تطبيق قانون تملك الحكومة للأموال التي يلحقها التقادم، والذي يمنح الدولة حق تملّك الأموال غير المطالب بها بعد مضي مدة زمنية طويلة دون حركة أو مطالبة قانونية من أصحابها أو ورثتهم.

 








طباعة
  • المشاهدات: 51819
 
1 -
ترحب "سرايا" بتعليقاتكم الإيجابية في هذه الزاوية ، ونتمنى أن تبتعد تعليقاتكم الكريمة عن الشخصنة لتحقيق الهدف منها وهو التفاعل الهادف مع ما يتم نشره في زاويتكم هذه.
16-10-2025 03:48 PM

سرايا

لا يوجد تعليقات
الاسم : *
البريد الالكتروني :
التعليق : *
رمز التحقق : تحديث الرمز
أكتب الرمز :

إقرأ أيضا

الأكثر مشاهدة خلال اليوم

إقرأ أيـضـاَ

أخبار فنية

رياضـة

منوعات من العالم